Xp
00 : 00
자동
Free-Talk

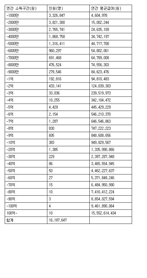
한국의 월급쟁이가 100명이라면?

레오나르도 디카프리오
1
  1514
Updated at 2015-12-10 10:00:05
10
댓글
[Kobe]맘바멘탈리티
2015-12-10 07:32:28

평균 1억 좀 안됨 뒤에 붙은(매니아에선 금지된 그것) 그게 참...얄밉네요

Newbee
2015-12-10 07:36:07

저게 세전인가요? 세후인가요?

♨Dwyane MV3
2015-12-10 07:47:40

연봉을 말하는거면 세전이겠죠.

[CLE] LIL
2
Updated at 2015-12-10 07:36:35

저렇게 따지는 건 잘못된 것이 하위 쪽에는 파트 타임으로 일하는 근로자가 많습니다. 예를 들면 하루 4-5시간만 일하는 겁니다. 그리고 제대로 따지려면 종합소득세로 따져야죠.

레임덕
2
2015-12-10 07:36:28

머 능력있는 사람이 많이 받는 건 불만없지만, 하위 계층들 먹고 살 수는 있게 해줘야 할텐데..말입니다.

일단맞고시작하자
2015-12-10 08:21:29
실수로 댓글을 지웠군요;;
저 자료는 임시직이나 일용직을 포함해서 그런것같네요.
참고로 고용노동부 상용근로자 상용임금총액은 월 평균 300만원을 훌쩍넘습니다.
All-Time
2
2015-12-10 09:14:05

중하위권이 박살나서 그렇지 솔직히 상위권이 많이 받는다는 느낌은 안드네요.

어차피 근로소득 상위 10%는 저정도 충분히 받아도 된다고 생각합니다.

근로자끼리 투닥거릴 필요가 뭐있나 싶네요.


문제는 위 댓글에도 나와있듯이 종합소득이죠.

저건 귀여워 보일정도로 차이가 날텐데..

미놀
2015-12-10 10:59:50

전 저 상위소득의 실체가 궁금하네요. 뭉뚱그리지말고 1프로 3프로 5프로 10프로 세분화해서보고싶어요. 부의편중을...

[CLE] LIL
2015-12-10 11:56:28

저도 인터넷에서 받은 건데 작년 종합소득세 자료라고 합니다. 종합소득세.jpg

미놀
2015-12-10 12:16:59

와우..고맙습니다.

역시 부의편중은...무섭네요. 더 심해지겠죠..
댓글 남기기
로그인 후 댓글을 남기실 수 있습니다.
01:20
 
1624
부산-달리기-수영
글쓰기